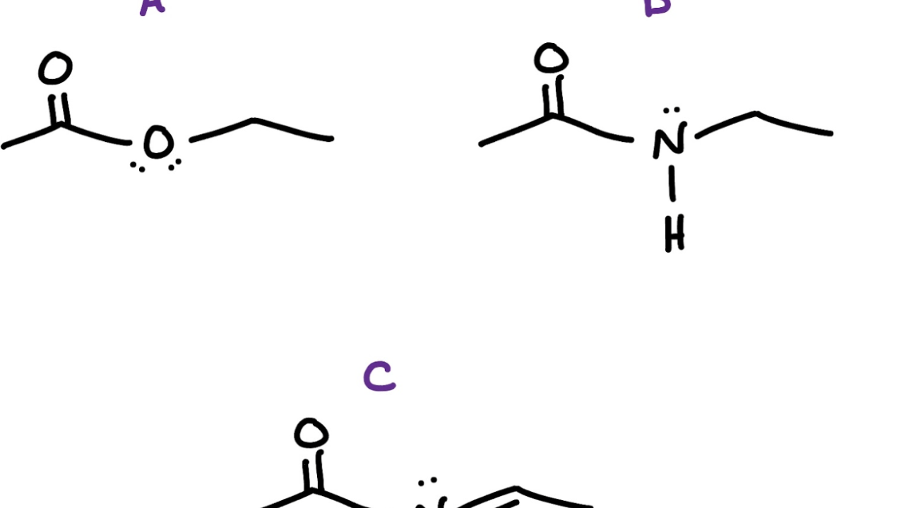
Lone Pairs and Resonance

Need extra support this semester?Â
I partnered with Chemmunity to give you the best way to master Organic Chemistry. From on-demand lessons to weekly live tutoring sessions (led by me), it’s everything you need to feel confident this semester!
Subscribe to
The
Morning Mechanism
OChem 1 & 2 questions delivered to your inbox every morning, plus bonus tips every Monday!