Morning Mechanism

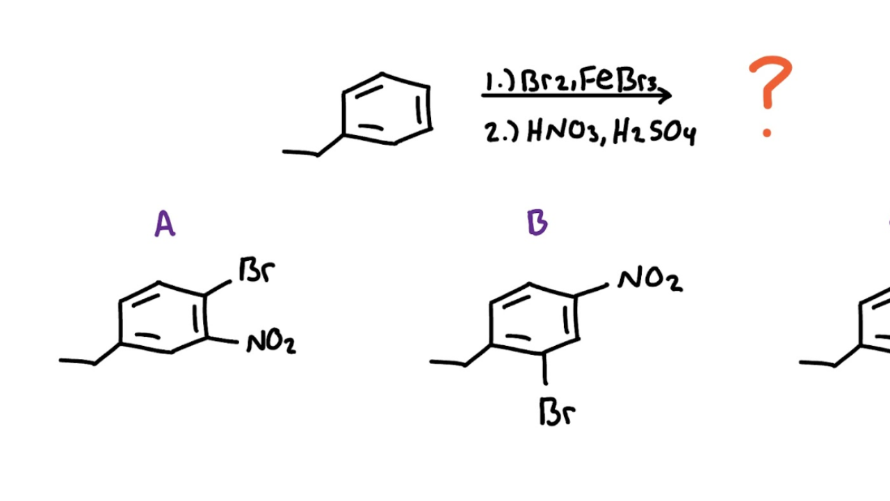
Q12: EAS Multip-Step

ochem 2

EAS reaction, aromatic substitution, electrophilic, activator, deactivator

Need extra support this semester? 

I partnered with Chemmunity to give you the best way to master Organic Chemistry. From on-demand lessons to weekly live tutoring sessions (led by me), it’s everything you need to feel confident this semester!

👉 Try Chemmunity

Subscribe to

The

Morning Mechanism

OChem 1 & 2 questions delivered to your inbox every morning, plus bonus tips every Monday!

Chemmunity Organic Chemistry Platform

Looking to get ahead in OChem or just want support that actually lasts all semester?

I’ve partnered with Chemmunity because you deserve the best way to learn Organic Chemistry.

See how it helps you study with confidence and stay ahead!

Learn More